
5 करोड़ से अधिक मतदाताओं की नई सूची जारी
निर्वाचन विभाग राजस्थान ने जारी की जनरल वोटर्स की सूची
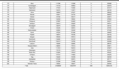
5करोड़ 26लाख 23 हजार 194 जनरल वोटर्स की सूची जारी (voters)
जयपुर। राजस्थान में विधानसभा चुनाव 2023 में 5करोड़ 26लाख 23 हजार 194 जनरल वोटर्स अपने मतों का प्रयोग कर सकेंगे। निर्वाचन विभाग राजस्थान सरकार ने राजस्थान की 200 विधानसभा सीटों पर कुल सामान्य वोटर्स की 19 अक्टूबर 2023 तक की सूची जारी कर दी है।
राजस्थान में 25 नवम्बर को विधाानसभा चुनाव होने हैं । निर्वाचन आयोग ने हाल ही में यह घोषणा की थी कि राजस्थान में 23 नवम्बर को चुनाव होंगे लेकिन देव उठनी ग्यारस का अबूझ सावा होने के चलते निर्वाचन विभाग को राजस्थान में चुनावों की तारीखों में परिवर्तन करना पड़ा।
यह भी पढ़ें:विधानसभा चुनाव 2023- (ESMS)
कितने पुरुष, कितनी महिलाएं?
इस सूची के अनुसार राजस्थान में सामान्य श्रेणी के पुरुष मतदाता 2,73,96,808 हैं। (voters) जो इस बार विधानसभा चुनावों में अपने मतों का प्रयोग कर सकेंगे। वहीं महिलाओं की बात करें तो 2,52,25,787 मतदाता वोट कर सकेंगी। तीसरे जेंडर के रूप में 599 मतदाता ऐसे हैं जो वोट डाल सकेंगे।
यह भी पढ़ें:अब 25 को मतदान, इसलिए भी बदली तारीख…!
1000 पुरुषों पर 921 महिलाओं का आंकड़ा
(voters) दूसरी ओर जेंडर रेशियो की बात करें तो राजस्थान में प्रति 1000 पुरुषों पर 921 महिलाएं हैं। इधर निर्वाचन विभाग की जारी मतदाता सूची के अनुसार सर्विस वोटर्स का आंकड़ा 1,41,925 है।
यह भी पढ़ें:48 घंटे में सी-विजिल एप पर 500 शिकायतें..!
जयपुर की झोटवाड़ा सीट पर सर्वाधिक (voters)
साथ ही जयपुर की झोटवाड़ा विधानसभा क्षेत्र में सर्वाधिक 4,23,177 (voters) हैं तो वहीं जयपुर की ही किशनपोल विधानसभा सीट पर 1,91,835 मतदाता हैं, जो कि किसी भी विधानसभा सीट पर सबसे कम वोटर्स हैं।
निर्वाचन विभाग ने जारी की राजस्थान में विधाानसभा वार वोटर्स की सूची :-

यह भी पढ़ें:राजस्थान सहित 5 राज्यों में चुनावों की घोषणा…!




